Статья: ФОРМИРОВАНИЕ ПРОФЕССИОНАЛЬНОЙ ФИЗКУЛЬТУРНО-ОЗДОРОВИТЕЛЬНОЙ КОМПЕТЕНТНОСТИ БУДУЩИХ ПЕДАГОГОВ ДОШКОЛЬНОГО ОБРАЗОВАНИЯ (2025)

Читать онлайн

Статья посвящена исследованию проблемы формирования профессиональной физкультурно-оздоровительной компетентности у будущих педагогов дошкольного образования. Аргументирован процесс формирования данной компетенции у студентов педагогического вуза, а также сформулировано содержание и основные компоненты понятия профессиональной физкультурно-оздоровительной компетентности. Разработан критериально-диагностический инструментарий, который можно использовать при оценке уровня сформированности компонентов профессиональной физкультурно-оздоровительной компетентности. Проанализировано понятие «модель выпускника» с различных позиций: работодателя, вуза, государства. Представлены результаты пилотажного опроса руководителей дошкольных образовательных организаций, проведенного с целью уточнения формирования совокупности профессиональных качеств современного педагога на этапе реформирования дошкольного образования. Определено и апробировано действие комплекса перспективных педагогических условий, совершенствующих процесс формирования профессиональной физкультурно-оздоровительной компетентности у студентов.

Ключевые фразы: компетентность, ПРОФЕССИОНАЛЬНАЯ КОМПЕТЕНТНОСТЬ, профессиональная физкультурно-оздоровительная компетентность, студенты, модель выпускника, дошкольное образование
Автор (ы): Воронцова Алина Сергеевна
Журнал: МИР НАУКИ, КУЛЬТУРЫ, ОБРАЗОВАНИЯ

Предпросмотр статьи

Идентификаторы и классификаторы

SCI
Образование
УДК
378. Высшее образование. Высшая школа. Подготовка научных кадров
Для цитирования:
ВОРОНЦОВА А. С. ФОРМИРОВАНИЕ ПРОФЕССИОНАЛЬНОЙ ФИЗКУЛЬТУРНО-ОЗДОРОВИТЕЛЬНОЙ КОМПЕТЕНТНОСТИ БУДУЩИХ ПЕДАГОГОВ ДОШКОЛЬНОГО ОБРАЗОВАНИЯ // МИР НАУКИ, КУЛЬТУРЫ, ОБРАЗОВАНИЯ. 2025. № 1 (110)
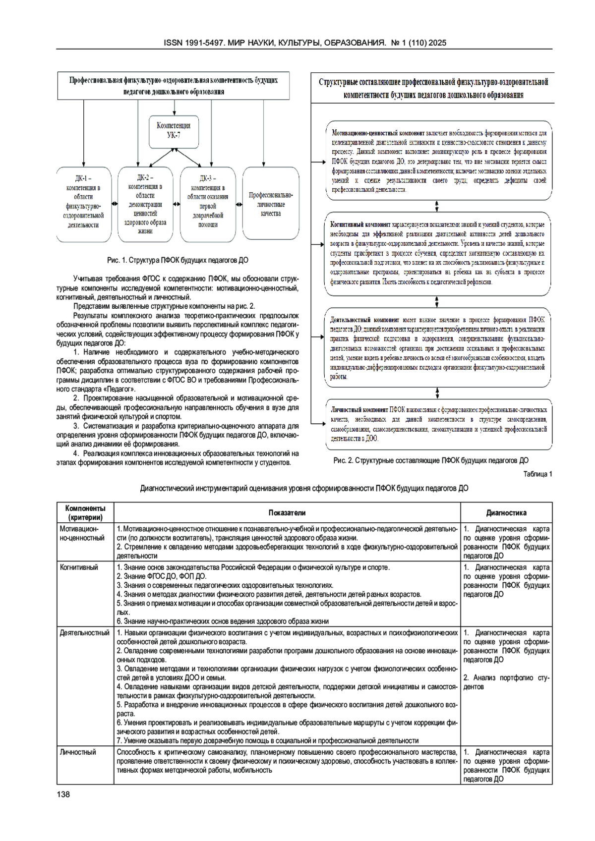
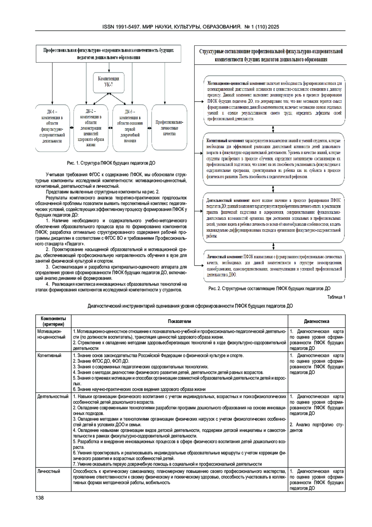
Текстовый фрагмент статьи