Статья: ИЗОТОПНЫЙ СОСТАВ УГЛЕРОДА (ẟ¹³C) И АЗОТА (ẟ¹⁵N) ШЕРСТИ ГРЫЗУНОВ ВОЛОГОДСКОЙ ОБЛАСТИ (2024)

Читать онлайн

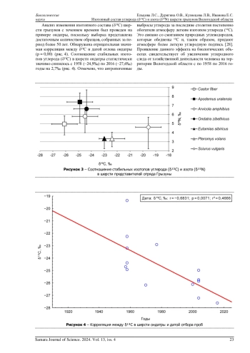
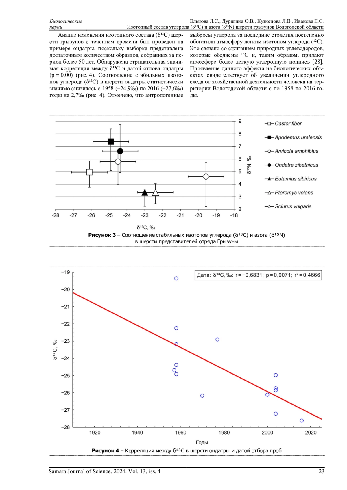
Исследование посвящено анализу соотношения стабильных изотопов углерода (ẟ¹³C) и азота (ẟ¹⁵N) в шерсти млекопитающих отряда Грызуны (обыкновенный бобр - Castor fiber Linnaeus, 1758; лесная мышь - Apodemus uralensis Pallas, 1811; водяная крыса - Arvicola amphibius Linnaeus, 1758; ондатра - Ondatra zibethicus Linnaeus, 1766; азиатский бурундук - Eutamias sibiricus (Laxmann, 1769); обыкновенная летяга - Pteromys volans Linnaeus, 1758; обыкновенная белка - Sciurus vulgaris Linnaeus, 1758) на территории Вологодской области. Изотопный состав углерода в шерсти исследованных животных варьирует от -28,2‰ до -17,9‰, азота - от 0,4‰ до 10,6‰. Значения ẟ¹³C в шерсти млекопитающих отряда Грызуны выше, а ẟ¹⁵N ниже, чем в шерсти млекопитающих отряда Хищные, исследованных ранее на территории Вологодской области. Соотношение тяжелых изотопов углерода и азота в шерсти животных, отловленных в разных районах Вологодской области, статистически значимо не различается. Установлено, что шерсть гидробионтов менее обогащена тяжелым изотопом углерода и более обогащена тяжелым изотопом азота, чем шерсть наземных представителей отряда Грызуны. Шерсть всеядных грызунов более обогащена тяжелым изотопом азота, чем шерсть фитофагов. Выявлено перекрытие изотопных ниш у отдельных видов грызунов. Установлено статистически значимое снижение тяжелого изотопа углерода в шерсти ондатры на 2,7‰ за 50 лет.

Ключевые фразы: изотопная экология, δ13c, δ15n, шерсть, ГРЫЗУНЫ, Вологодская область, трофический уровень, изотопные ниши, музейные коллекции, изотопный масс-спектрометр, castor fiber, apodemus uralensis, arvicola amphibius, ondatra zibethicus, eutamias sibiricus, pteromys volans, sciurus vulgaris
Автор (ы): Ельцова Любовь Сергеевна, Дурягина Ольга Васильевна, Кузнецова Людмила Викторовна, Иванова Елена Сергеевна
Журнал: САМАРСКИЙ НАУЧНЫЙ ВЕСТНИК

Предпросмотр статьи

Идентификаторы и классификаторы

SCI
Животноводство
УДК
574.38. Экологические ниши
Для цитирования:
ЕЛЬЦОВА Л. С., ДУРЯГИНА О. В., КУЗНЕЦОВА Л. В., ИВАНОВА Е. С. ИЗОТОПНЫЙ СОСТАВ УГЛЕРОДА (ẟ¹³C) И АЗОТА (ẟ¹⁵N) ШЕРСТИ ГРЫЗУНОВ ВОЛОГОДСКОЙ ОБЛАСТИ // САМАРСКИЙ НАУЧНЫЙ ВЕСТНИК. 2024. ТОМ 13, № 4
Текстовый фрагмент статьи