Статья: УПРАВЛЕНИЕ РИСКАМИ КАК ЭЛЕМЕНТ СТРАТЕГИИ ИННОВАЦИОННОГО РАЗВИТИЯ НАУКОЕМКИХ ПРЕДПРИЯТИЙ (2025)

Читать онлайн

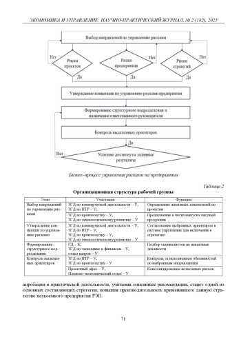
В статье рассматривается управление рисками в качестве элемента при формировании стратегии инновационного развития наукоемких предприятий. Представлены различные варианты понятия «риски», дано их авторское определение. Предложено создание специального структурного подразделения по управлению рисками в качестве дополнения к формируемой стратегии инновационного развития. Разработана блок-схема прохождения согласования бизнес-процессов через данное структурное подразделение. Показано распределение ответственности каждого участвующего звена, задействованного в предлагаемой блок-схеме. Дано обоснование целесообразности включения управления рисками в стратегию инновационного развития в качестве одного из элементов

Ключевые фразы: наукоемкое предприятие, инновационное развитие, стратегия инновационного развития, риски, управление рисками
Автор (ы): Лобков Константин Юрьевич, Рагозина Марина Алексеевна, Харебин Артем Витальевич, Табакаева Мария Романовна
Журнал: ЭКОНОМИКА И УПРАВЛЕНИЕ: НАУЧНО-ПРАКТИЧЕСКИЙ ЖУРНАЛ

Предпросмотр статьи

Идентификаторы и классификаторы

SCI
Экономика
УДК
33. Экономика. Народное хозяйство. Экономические науки
Для цитирования:
ЛОБКОВ К. Ю., РАГОЗИНА М. А., ХАРЕБИН А. В., ТАБАКАЕВА М. Р. УПРАВЛЕНИЕ РИСКАМИ КАК ЭЛЕМЕНТ СТРАТЕГИИ ИННОВАЦИОННОГО РАЗВИТИЯ НАУКОЕМКИХ ПРЕДПРИЯТИЙ // ЭКОНОМИКА И УПРАВЛЕНИЕ: НАУЧНО-ПРАКТИЧЕСКИЙ ЖУРНАЛ. 2025. № 2 (182)
Текстовый фрагмент статьи