Статья: СВЯЗЬ ИНДИВИДУАЛЬНЫХ И СОЦИАЛЬНЫХ ХАРАКТЕРИСТИК ПОВЕДЕНИЯ В КОНТЕКСТЕ ДОСТИЖЕНИЯ УСПЕШНОЙ АДАПТАЦИИ НА ПРИМЕРЕ ХОЛОСТЯКОВОЙ ГРУППЫ ПОЛУВОЛЬНОЙ ПОПУЛЯЦИИ ЛОШАДИ ПРЖЕВАЛЬСКОГО В ОРЕНБУРГСКОМ ЗАПОВЕДНИКЕ (2024)

Читать онлайн

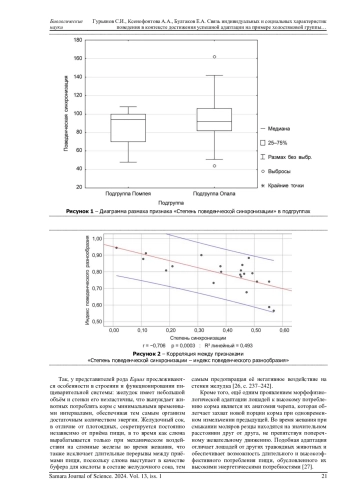
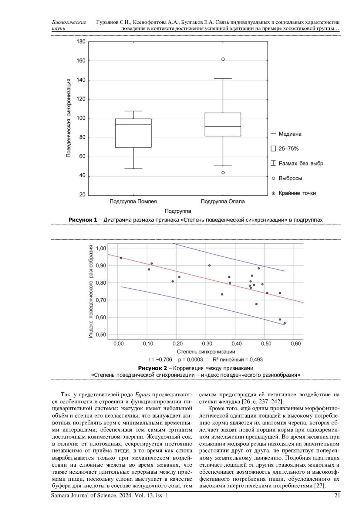
В статье рассматривается взаимосвязь степени поведенческой синхронизации и индекса разнообразия поведения с морфофункциональными особенностями лошади Пржевальского в контексте их адаптационного значения. Отмечено, что обозначенные характеристики поведения определяют способность животных к формированию сплочённых социальных групп, что лежит в основе оборонительного поведения некоторых видов социальных животных, в особенности копытных открытых пространств, а также их противодействия различным факторам внешней среды (например, воздействие насекомых, температурных эффектов и др.). Показатель индекса поведенческого разнообразия отражает стремление животного к проявлению мотивированного поведения, т. е. удовлетворению доминирующей потребности с позиции теории функциональных систем. Учёт данных показателей имеет значимость для успешного проведения программ реинтродукции различных видов животных. В данном исследовании на примере холостяковой группы полувольной популяции изучаемого вида, обитающей на территории участка «Предуральская степь» ФГБУ «Заповедники Оренбуржья», благодаря комплексу этологических наблюдений проводилась оценка адаптации лошадей к степным экосистемам Южного Предуралья. В исследуемом сообществе зафиксирован высокий уровень поведенческой синхронизации и низкие значения индекса разнообразия поведения, объясняемые морфофизиологической адаптацией вида к длительному периоду потребления корма. Отмечена связь между указанными характеристиками поведения и долей разных форм поведения у изучаемой группы диких лошадей, свидетельствующая об эффективной интеграции животных в естественную для вида экологическую нишу.

Ключевые фразы: лошадь пржевальского, синхронизация поведения, этологическая адаптация, степной биом, РЕИНТРОДУКЦИЯ, Поведение животных, экологическая реставрация, поведенческое разнообразие
Автор (ы): Гурьянов Сергей Игоревич, Ксенофонтова Анжелика Александровна, Булгаков Евгений Александрович
Журнал: САМАРСКИЙ НАУЧНЫЙ ВЕСТНИК

Предпросмотр статьи

Идентификаторы и классификаторы

SCI
Животноводство
УДК
591.5. Образ жизни животных. Экология. Этология. Животное и окружающая среда (биономия)
Для цитирования:
ГУРЬЯНОВ С. И., КСЕНОФОНТОВА А. А., БУЛГАКОВ Е. А. СВЯЗЬ ИНДИВИДУАЛЬНЫХ И СОЦИАЛЬНЫХ ХАРАКТЕРИСТИК ПОВЕДЕНИЯ В КОНТЕКСТЕ ДОСТИЖЕНИЯ УСПЕШНОЙ АДАПТАЦИИ НА ПРИМЕРЕ ХОЛОСТЯКОВОЙ ГРУППЫ ПОЛУВОЛЬНОЙ ПОПУЛЯЦИИ ЛОШАДИ ПРЖЕВАЛЬСКОГО В ОРЕНБУРГСКОМ ЗАПОВЕДНИКЕ // САМАРСКИЙ НАУЧНЫЙ ВЕСТНИК. 2024. ТОМ 13, № 1
Текстовый фрагмент статьи